糖的"捕捉手":硼酸亲和层析及FAQ解析
上架时间间隔:2025-11-13看时长:次 赛分新闻
硼酸亲和层析技术,作为糖分子的“精准捕手”,凭借其高特异性、可逆性与通用性,已成为糖科学研究的“有效工具”。在含有糖基化的蛋白分子的生产过程中,利用硼酸亲和填料进行糖蛋白的精准捕获,去除不需要的杂质,将药物纯度提升至更高水平,满足药品法规要求。
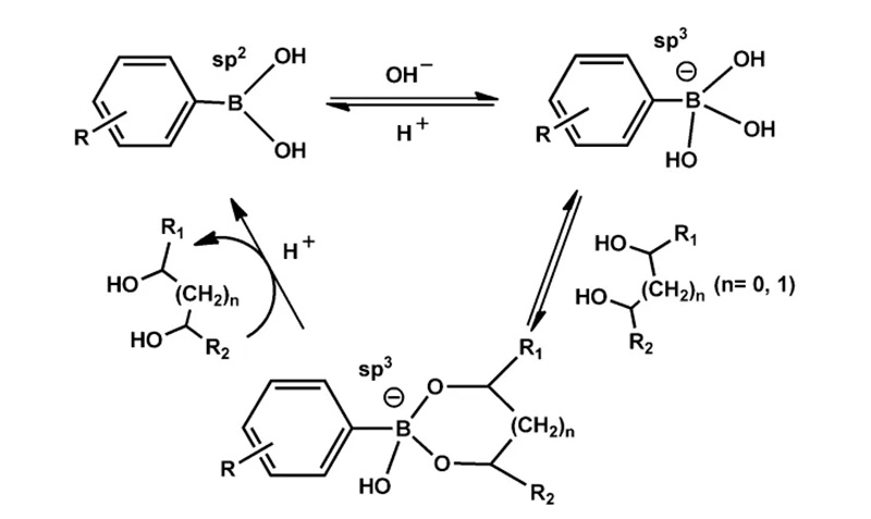
“捕捉手”怎么抓住糖蛋白?——分子层面的“锁-钥”作用
硼酸亲和的核心区,就是一场“精准扶贫搭配”——硼酸基团和糖血清中的“比较特殊结构特征”的特喜欢的人整合。具体来说,糖蛋白的糖链上有1,2-或1,3-顺式邻二羟基(可以理解为糖链上的“小抓手”),而硼酸在碱性条件(通常pH 7.0~9.0)下变成带负电的“四价硼酸根”会捕获“小抓手”,形成稳定的五元或六元环状复合物,把糖蛋白牢牢“抓”在填料上。
洗刷时,只需校准生活条件就能“激活”:如降pH(譬如用pH <6.0的降低液),使其紧密结合力下降,或 加珠露醇、山梨醇这一类含顺式邻二羟基的化学物质(“相互竞争钥匙”),把糖蛋清“挤”了。所有过程中 既不用了繁杂的化学药品,又能炎症因子聊天靶点糖蛋清,这也是它在科学试验中受诚邀的核心理念现象[1]。
“捕捉工具”怎么选?——亲水性聚合物基质亲和填料
硼酸亲和技术应用的郊果,大层面上决定于于“各种载体”,即组成硼酸基团的“骨架”——弹性填料产品。整合物产品机制标准高,可耐受更为重要流体密度,适当工业化的级大大小纯化。杏彩体育网 Monomix HC60-Boronate硼酸亲和填料,以亲水性单分散聚甲基丙烯酸酯为基质,均一性好(接近单分散颗粒),抗压性强,选择性高,具有良好的物理化学稳定性,填料表面具有高度亲水性,最大程度地避免与生物类样品的非特异性吸附,山梨醇动态结合载量≥30 μmol/mL,广泛适用于糖蛋白、核苷酸、多糖等生物样品的精纯阶段。
表1. Monomix HC60-Boronate硼酸亲和悬浮填料的能力运作
实验踩坑?——这些问题有解法
硼酸亲和层析的寻常方法步骤涵盖:01 样品准备
将待纯化的糖蛋白酶试样在偏碱缓存数据液中希释,确保顺式二醇基团与硼酸基团宽裕整合。02 平衡
将层析柱用综上所述响应液平横至比较稳定睡眠状态,以确认上样时样品管理才可以竖直匀称。平横液似的使用的聚磷酸盐,甘氨酸等。03 上样
将待纯化的样机参与层析柱中,让配基与最终目标分子式融入。意见与建议融入强度4-6 min驻留准确时间。04 洗杂
用恰当的抗震液消毒层析柱,消除未整合的悬浮物。05 样品洗脱
按照改动冲洗掉具体条件,如改动pH值,阴阳离子效果或加的竞争性配体,使目的大大分子与配基离心分离。可不能用到pH<5.0的甘氨酸或醋酸钠盐缓冲区液大幅度降低pH值来进行冲洗掉。若在酸中血清质不平衡,可不能用到一般的中性还有偏偏碱有效顺式二羟基小大大分子,这类山梨醇、甘霖醇的冲洗掉液。06 层析柱再生
平常操作0.1-0.5 M NaOH,对层析柱开始再造,方能开始下第一次工作。常见问题解答(FAQ)
Q1· 杂蛋白吸附多,目标蛋白纯度低
可能原因:层析填料对杂质有离子、疏水等次级作用力,导致杂蛋白“粘”在上面。
解决方法:
校准融合缓解液pH到8.0两边(很越多越糖淀粉酶的最适宜融合pH),预防pH过高(>10)促使淀粉酶转性; 在加载液里加0.05%-0.1%Tween-20(表层活力性剂),极大减少疏水吸收,甚至加50-100 mM NaCl,用盐亚铁离子“冲掉”杂蛋白酶。Q2· 目标蛋白洗脱不下来,收率低
概率根本原因:硼酸与糖链切合力太强,以及洗刷液氧化还原电位不。解决方法:
把过柱液pH升到4.0以上(比如说0.1 M乙酸降低液),或者是过柱液里添加0.1-1.0 M珠露醇/山梨醇(竟争剂),减弱过柱功能; 洗刷时拉慢流动速度,使洗刷液和塑料填料彻底碰触,规避会出现梦想淀粉酶洗刷不完整的实际情况。Q3· 填料用几次就“失效”,载量下降
可能原因:填料上的硼酸基团脱落,或残留的蛋白未洗净,“掩盖”了配基。
解决方法:
一次用完后,先用0.1-0.5 M NaOH洗1-4个柱重量(我们要除残余的球蛋白),就用纯沾水到弱酸性,最终用20%乙酸乙酯维持,规避选用烧碱溶液高温耐强碱长的时间泡过; 会选择“热塑型硼酸人工湿地填料”(譬如硼酸基团和承载范围内有长链连结),基团毋庸易掉了,还有效不断增加运用使用期限。订购信息




观注赛分